Swatilalwani
Create Your First Project
Start adding your projects to your portfolio. Click on "Manage Projects" to get started
Loan Behavior and Credit Trend Analysis
1. Overview of the Project
The project aimed to analyze loan application data to uncover significant trends and patterns in borrower behavior, focusing on key factors like credit scores, geographic distribution, and employment length. This analysis provided insights into loan repayment tendencies and informed better decision-making for loan issuance.
2. Objectives
Identify the relationship between borrower credit scores and loan approval trends.
Analyze how employment length impacts loan repayment likelihood.
Explore geographic variations in loan applications.
Highlight key trends in loan application rates and borrower behavior based on credit grades.
3. Data and Tools Used
Dataset: The project used a public or simulated loan application dataset containing variables such as borrower demographics, credit scores, employment lengths, geographic locations, loan statuses, and credit grades.
Tools and Libraries:
Python: For scripting and analysis.
Pandas: For data preprocessing and manipulation.
NumPy: For numerical computations.
Matplotlib and Seaborn: For data visualization to uncover trends and patterns.
Label Encoder: To convert categorical variables (e.g., employment length categories) into numerical formats for better analysis.
4. Techniques Used
Exploratory Data Analysis (EDA):
Assessed data distributions, missing values, and correlations among key variables.
Visualized credit scores, employment lengths, and geographic distributions.
Categorical Encoding:
Employed Label Encoder to transform non-numerical data into numerical values, ensuring compatibility with analytical techniques.
Trend Analysis:
Examined borrower credit score ranges and their impact on loan applications.
Identified the most frequent credit grade categories.
Geographic Insights:
Explored variations in loan applications across different regions.
5. Key Findings and Insights
Credit Score Patterns: Most loan applications fell within the 680-684 FICO score range, indicating that borrowers in this category were more active or likely to apply for loans.
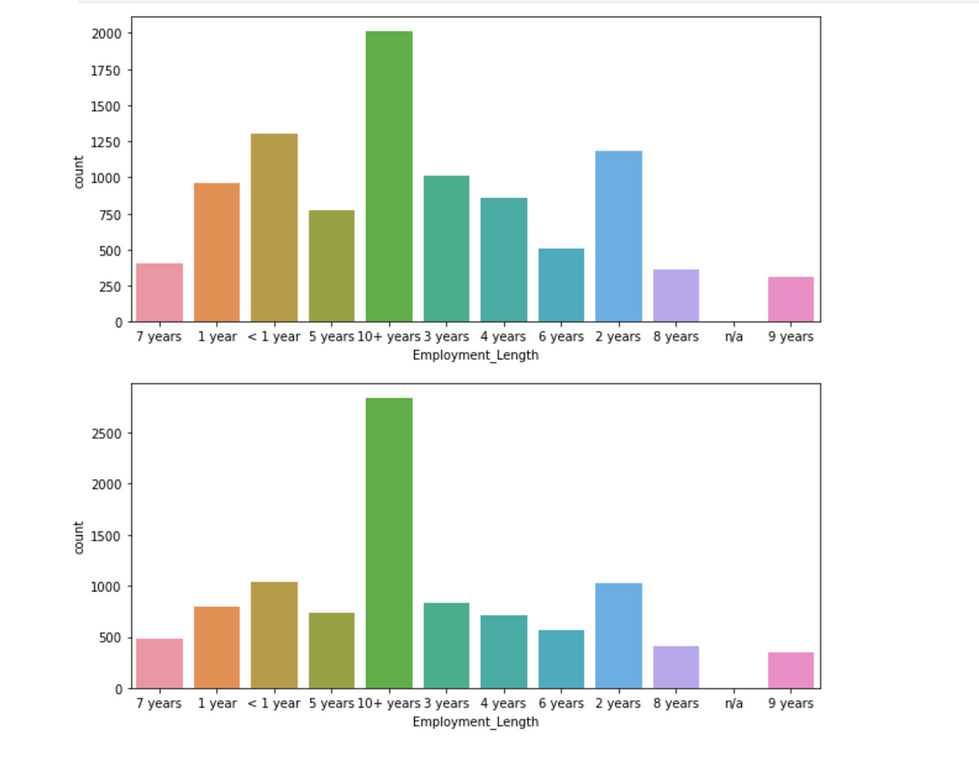
Employment Length Trends: Borrowers with over 10 years of employment showed higher application rates, suggesting they are perceived as more stable and reliable.
Credit Grades: Credit grade B3 had the highest application rates, revealing its popularity among borrowers.
Geographic Trends: The analysis identified regions with higher application densities, which could guide location-specific loan strategies.
6. Recommendations and Conclusion
Targeted Loan Offers: Focus marketing and approval strategies on borrowers with FICO scores in the 680-684 range and those with longer employment histories to improve repayment likelihood.
Custom Credit Plans: Develop tailored loan products for credit grade B3 applicants to capture this high-demand segment effectively.
Regional Strategies: Adjust loan issuance policies and marketing efforts based on geographic trends to tap into underserved areas.











